Air pollution is a growing problem in most cities (big and small). The "Daily Dose" aims to disseminate the best available information on air pollution and engage in discussions to better understand the process of air quality management. For more details visit https://www.urbanemissions.info
Sunday, November 09, 2025
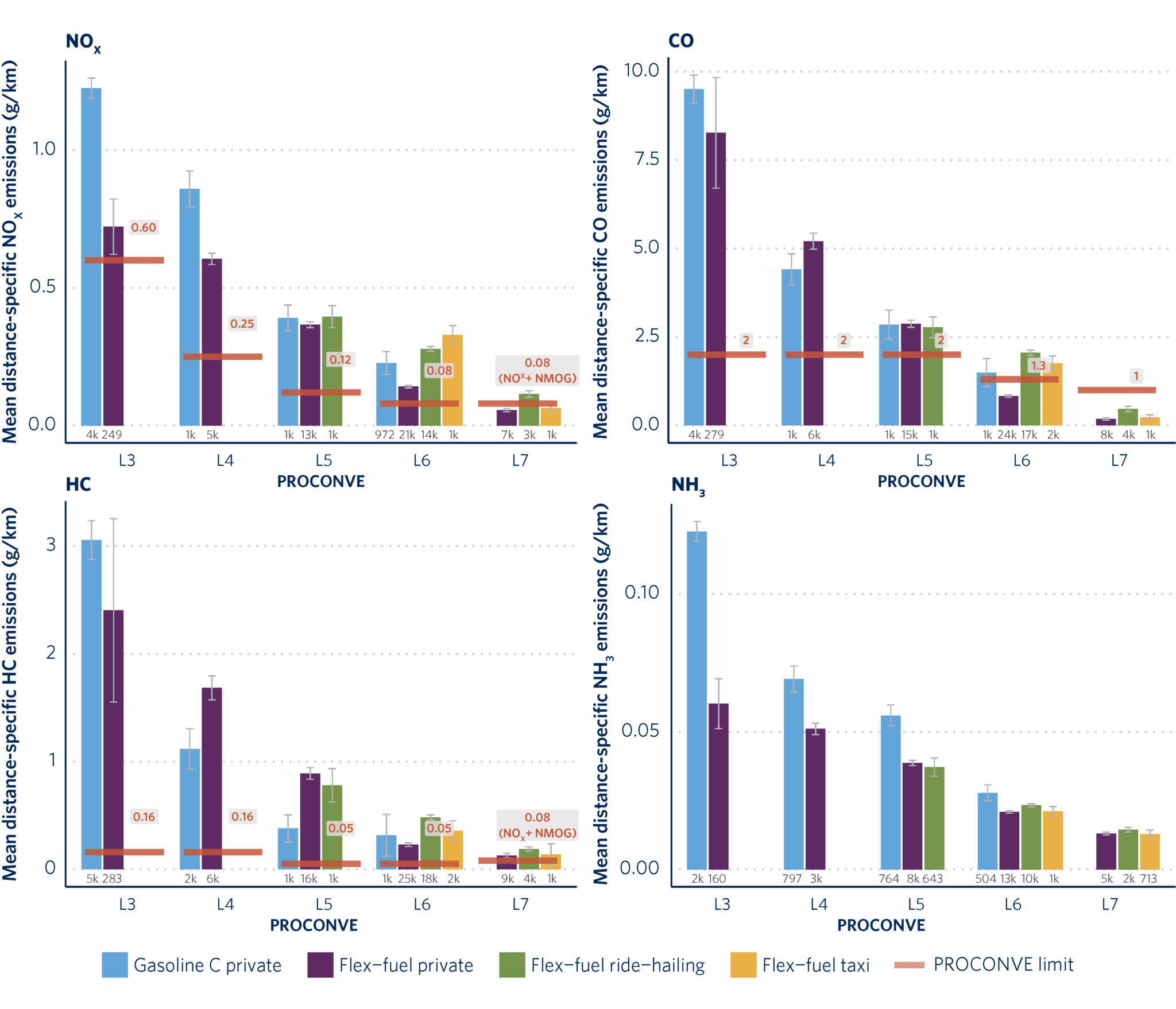
ICCT - Evaluation of real-world vehicle emissions in São Paulo
No comments:
Post a Comment